CONSERVATION /IN SITU/

Reptiles are often overlooked in conservation efforts. Hence, long-term population data is often unavailable, and evidence for effective conservation actions th...

Abstract. Nach der Revision der Gattung Hypsilurus (Manthey & Denzer 2006) und einer danach erfolgten Neubeschreibung (Kraus & Myers 2012) beinhaltete ...

Abstract. The Colorado checkered whiptail (Aspidoscelis neotesselatus) is a parthenogenetic lizard that is listed as a “species of special concern” in the stat...

Abstract. Since the world is currently in the midst of a major biodiversity crisis, scientists have assigned high conservation priority to 36 biodiversity hotsp...

Abstract. Die Bogenfingergeckos der Gattung Geckoella Gray, 1867, sind in Indien durch fünf Arten vertreten, G. albofasciatus (Boulenger, 1885), G. collegalensi...

Abstract. Many Australians who work outdoors (notably, farmers and graziers) routinely kill venomous snakes. We argue that this attitude is misguided and danger...

Abstract. Considerable momentum behind addressing the conserva tion status of the nearly 500 Malagasy frog species, of which only 300 have been described so f...

Abstract. Varanus prasinus, commonly known as the Green Tree Monitor, is a gracile lizard reaching a total length of less than 1 m. Ground color is light to em...

Abstract. The Blue tree monitor, Varanus macraei Böhme & Jacobs, 2001 is a tree monitor species favored by reptile keepers. Successful captive breeding was...

dragons-in-your-gardenDownload ...

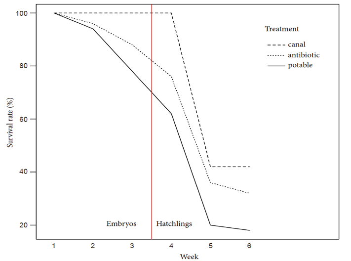
Abstract. In Nepal, the biology and conservation status of Varanus flavescens is poorly known. Hencewe undertook direct visual and indirect (questionnaire) surv...

Abstract. Comprehensive assessments of species’ extinction risks have documented the extinction crisis1 and underpinned strategies for reducing those risks. Glo...

Abstract. As part of an on-going survey of herpetofaunal diversity in Timor-Leste, we documented our observations regarding encounters between local human inhab...

Abstract. We describe Calumma tarzan sp. n., a morphologically distinct chameleon species of the Calumma furcifer species group from rainforest fragments in the...

Abstract. The crocodile lizard, Shinisaurus crocodilurus Ahl, 1930, is a monotypic taxon, restricted in occurrence to southern China and northern Vietnam. Wild ...

Abstract. The turquoise dwarf gecko (Lygodactylus williamsi) is endemic to two small forests in eastern Tanzania, where it exclusively dwells on screwpines (Pan...

Abstract. Anuran amphibians are known to employ acoustic signals as the principal form to access potential mates, while recent studies have highlighted the impo...

Abstract. One considerable advantage for axolotl (Ambystoma mexicanum) conservation planning could be the almost 150 years of captive propagation experience aro...

Abstract. The distribution, ecology and conservation status of the Syrian urodeles Salamandra infraimmaculata and Ommatotriton vittatus are poorly known. We pre...

Abstract. We provide an updated list of amphibians and reptiles of the state of Ceará, northeastern Brazil, with information on species distribution patterns an...

Abstract. Habitat restoration is a mitigation tool often proposed in conservation biology, however, our knowledge about its effectiveness is still limited. Here...

Abstract. The South American Rattlesnake, Crotalus durissus durissus, is a typical savannah habitat snake that only rarely occurs in forested areas. Its popula...

Abstract. Since 2008, the conservation program of the Harlequin mantella (Mantella cowanii) in Fohisokina site (or Vohisokina), located in the Antoetra Region ...

This document is the update of the Species Conservation Strategy of Mantella aurantiaca (2011-2015) and elaborate by : Rakotondrasoa E.F., Andriantsimanarilafy...

Abstract. Mantella aurantiaca is a small, bright orange, terrestrial amphibian that is endemic to the island of Madagascar. The species has attracted significa...

Abstract. The golden mantella frog, Mantella aurantiaca, is a brightly-coloured terrestrial and diurnal species that is endemic to a relatively small area of h...

Abstract. La mantelle arlequin, Mantella cowanii, est l'un des amphibiens malgaches les plus menacés. Cette espèce emblématique a une distribution dispersée su...

Abstract. The Golden Mantella frog (Mantella aurantiaca), is Critically Endangered (CR) and found only in the District of Moramanga, Alaotra Mangoro Region in ...

Abstract. We report on seven new localities for Mantella bernhardi, a Malagasy poison frog that was previously known only from a single site. This species has ...

Abstract. Excidobates mysteriosus (Myers, 1982) is a species of poison frog (family Dendrobatidae) endemic to Northern Peru and one of the more enigmatic speci...
Shopping cart



